个人技术分享

一、随机变量

1.1 随机变量的概念

在这里插入图片描述

在这里插入图片描述

1.2 随机变量的分类

在这里插入图片描述
在这里插入图片描述
在这里插入图片描述
在这里插入图片描述

二、离散型随机变量及其分布律

2.1 定义

在这里插入图片描述
在这里插入图片描述

2.2 常见离散型随机变量的概率分布

0-1 分布

在这里插入图片描述
在这里插入图片描述

二项分布

在这里插入图片描述
在这里插入图片描述
在这里插入图片描述

泊松分布

在这里插入图片描述
在这里插入图片描述
在这里插入图片描述
在这里插入图片描述
在这里插入图片描述

几何分布

在这里插入图片描述

三、随机变量的分布函数

3.1 概念

在这里插入图片描述
在这里插入图片描述

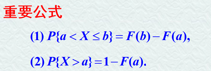
3.2 性质

在这里插入图片描述
在这里插入图片描述
在这里插入图片描述
在这里插入图片描述
在这里插入图片描述

四、连续型随机变量及其概率密度

4.1 概念

在这里插入图片描述

4.2 性质

在这里插入图片描述
在这里插入图片描述
在这里插入图片描述
在这里插入图片描述
在这里插入图片描述

4.3 常见的连续型随机变量的分布

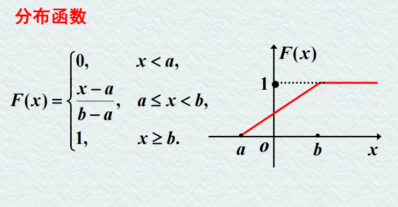
均匀分布

在这里插入图片描述
在这里插入图片描述
在这里插入图片描述

指数分布

在这里插入图片描述
在这里插入图片描述
在这里插入图片描述
在这里插入图片描述

正态分布

在这里插入图片描述
在这里插入图片描述
在这里插入图片描述
在这里插入图片描述
在这里插入图片描述

五、随机变量的函数分布

5.1 离散型随机变量的函数的分布

在这里插入图片描述
在这里插入图片描述

5.2 连续型随机变量的函数的分布

在这里插入图片描述
在这里插入图片描述